德国高特¼›å…¬å¸ï¼Œåœ¨é«˜åŽ‹æ¯›¾l†ç®¡‹¹å˜çš„æµ‹è¯•æŠ€æœ¯ä¸Šä¸€ç›´åœ¨ä¸æ–地推陈出新。新上市的æµå˜äÈA˜qžç®‹˜q›æ–™¾pÈ»ŸåQŒæ˜¯ä¸€ä¸ªå…¨æ–°çš„ç†å¿µ½Hç ´å’Œå®žçŽ°ã€‚å®ƒåšäØ“(f¨´)高压毛细½Ž¡æµå˜äÈA的新型选é…附äšgåQŒç¬¬ä¸€‹Æ¡è®©å¤§å®¶ž®†ç„¦ç‚¹å…³æ³¨åœ¨‹¹‹è¯•åŠ æ ·éƒ¨åˆ†ã€?/p>
å…ˆæ¥çœ‹ä¸€ä¸‹ï¼Œ˜qžç®‹˜q›æ–™¾pÈ»Ÿçš„工作动æ€å›¾åQ?/p>
高特¼›å“ç‰ŒäØ“(f¨´)什么会(x¨¬)针对“进料â€è¿™ä¸ªæ¥éª¤è¿›è¡Œæ”¹é€ 凾U§ï¼Ÿ˜q™ç§å‡çñ”åˆä¼š(x¨¬)解决‹¹å˜?g¨°u)¹‹è¯•ä¸ä»€ä¹ˆé—®é¢˜å‘¢åQ?nbsp;
首先åQŒè¿™æ˜¯è¢«‹¹‹ææ–™åœ¨˜q›è¡Œå·¥è‰ºåŠ å·¥¾_„¡¡®æ¨¡æ‹Ÿè¯•éªŒæ—¶çš„å¿…è¦æ¡äšgã€?/p>
ç›®å‰åQŒæ©¡èƒ¶å·¥ä¸šä¸çš„æµå˜äÈA主è¦ä½¿ç”¨é—¨å°¼¾_˜åº¦è®¡å’ŒMDR¼‹«åŒ–仪。这两ç§ä»ªå™¨çš„æµ‹é‡èŒƒå›´å’Œ‹¹‹è¯•出的¾l“æžœåQŒä¸Žå®žé™…åŠ å·¥ä¸ææ–™çš„çœŸæ£å½¢å˜çжæ€å¯¹æ¯”ï¼Œä¸¤è€…å·®å¼‚è¾ƒå¤§ã€‚ç”±äºŽææ–™çš„éžçº¿æ€§è¡Œä¸ºï¼Œå¯¹èƒ¶æ–™çš„åŠ å·¥è¡ŒäØ“(f¨´)的预‹¹‹å¾€å¾€ä¼?x¨¬)å› ä¸ºç¼ºž®‘å…¶ä»–æ›´ä¼˜çš„ä»ªå™¨é€‰æ‹©æ€§è€Œå¯¼è‡´ææ–™çš„åŠ å·¥è¡ŒäØ“(f¨´)æ— æ³•é¢„æµ‹åQŒæˆ–è€…æ˜¯é¢„æµ‹åˆ°çš„åŠ å·¥è¡ŒäØ“(f¨´)是错误的ã€?/p>
è€Œä¸”Š™¡èƒ¶ææ–™çš„è§¦å˜æ•ˆåº”在实验室测试时也常被技术ähå‘˜å¿½ç•¥ï¼Œè€Œåœ¨å®žé™…åŠ å·¥ä¸ï¼ŒŠ™¡èƒ¶æ–™åœ¨æŒ¤å‡ºæˆ–注ž®„æˆåž‹å‰éƒ½æ˜¯˜q›è¡Œäº†å……分塑化的åQŒå°¤å…¶æ˜¯Š™¡èƒ¶ææ–™ä¸è¿˜å«æœ‰èœ¡å’Œå¢žå¡‘剂,˜q™å¯¼è‡´åŠ å·¥è¿‡½E‹ä¸èƒ¶æ–™ä¼?x¨¬)äñ”生滑¿U»è¡Œä¸ºï¼Œ˜q™äº›æƒ…况和现象,在实验室的测试ä¸éƒ½æ˜¯å¿…é¡»è¦è€ƒè™‘˜q›åŽ»çš„å› ç´ ï¼Œä¸èƒ½è¢«å¿½ç•¥ã€‚è€Œä¼ ¾lŸçš„Š™¡èƒ¶‹¹‹è¯•仪器åQŒè¿›æ ·åŽåœ¨æ¨¡å…·ä¸æ— 法对胶料进行充分的塑化åQŒä¹Ÿæ— 法记录˜q™äº›è¡ŒäØ“(f¨´)åQŒå› æ¤æµ‹è¯•æ•°æ®ä¸åŒ…括˜q™äº›å½±å“åQŒæ‰€ä»¥å¯¼è‡´æµ‹è¯•结果与实际情况大相径åºã€?/p>
å› æ¤åQŒï¼ˆå¦‚æžœé‡‡ç”¨ä¼ ç»Ÿçš„æ©¡èƒ¶æµå˜æµ‹è¯•äÈAå™¨å’Œæ–¹å¼æ¥é¢„‹¹‹å·¥è‰ºæ•ˆæžœï¼‰å¾€å¾€åœ¨äñ”å“éƒ½å¼€å§‹ç”Ÿäº§åŽæ‰è¢«å‘现实验室表å¾çš„åŠ å·¥çŠ¶æ€æ˜¯é”™è¯¯çš„,˜q™å°±é€ æˆäº†ç”Ÿäº§æ—¶é—´å’Œææ–™çš„æµªè´V€‚在模具‹¹åŠ¨æ¨¡æ‹Ÿä¸ï¼ˆåÏx¨¡‹¹åˆ†æžï¼‰åQŒå¿½è§†å¡‘化对‹¹åŠ¨è¡ŒäØ“(f¨´)çš„èµA(ch¨³)çŒ®ï¼Œç‰¹åˆ«æ˜¯å¿½è§†å£æ»‘行为,ä¼?x¨¬)å¯¼è‡´æ¨¡å…øP¼ˆå£æ¨¡åQ‰é¢„‹¹‹è®¾è®¡çš„错误åQŒä‹Éæ–îCñ”å“å¯åŠ¨ç”Ÿäº§æ—¶é—´é•¿ä¸”æˆæœ¬é«˜ã€?/p>
˜q™é‡Œè¦è§£é‡Šä¸€ä¸‹ä»€ä¹ˆæ˜¯ææ–™çš„å¡‘åŒ?/span>
é«˜åˆ†åææ–™çš„å¡‘åŒ–ä¸»è¦æŒ‡çš„æ˜¯ææ–™çš„充分混åˆåŠå……分熔èžï¼Œå¡‘åŒ–å¥½çš„Š™¡èƒ¶ææ–™éƒ½æœ‰è¾ƒå¥½çš„æµåŠ¨æ€§ã€‚ç”±äºŽæ©¡èƒ¶ææ–™çš„å¯¼çƒæ€§èƒ½è¾ƒå·®åQŒä¸Žå¡‘料相比åQŒæ©¡èƒ¶çš„åŠ å·¥æ¸©åº¦éƒ½åä½Žï¼Œå› æ¤åœ¨å®žéªŒå®¤è¡¨å¾æ—Óž¼Œå¯ä»¥å¯ÒŽ(gu¨©)©¡èƒ¶æå‰æØœç‚û|¼Œè¾‘Öˆ°è¾ƒå¥½çš„æØœåˆæ•ˆæžœï¼Œä½†æ˜¯æ”‘Ö…¥åŠ çƒè®‘Ö¤‡ä¸è¾¾åˆ°å……分熔èžè¾ƒéš¾ï¼Œå› æ¤åœ¨è¡¨å¾çš„讑֤‡å†…会(x¨¬)出现塞æµã€‚也ž®±æ˜¯Š™¡èƒ¶ææ–™æœ‰ä¸€å®šçš„è§¦å˜æ€§ï¼ŒåÏx料的‹¹åŠ¨æ€§ä¸ä»…ä»…å—剪切速率影å“åQŒåŒæ—¶ä¹Ÿä¸Žå—åŠ›æ—¶é—´çš„æœ‰å…³ã€‚ææ–™æ‰¿å—ä¸€å®šæ—¶é—´çš„ä½œç”¨åŠ›åŽæ‰ä¼š(x¨¬)‹¹åŠ¨ã€‚åŒæ—¶æœªå¡‘åŒ–å¥½çš„ææ–™ä¼?x¨¬)äñ”生åã^推æµåQŒå› æ¤åœ¨æœªå¡‘åŒ–å¥½çš„ææ–™ä‹É用Mooneyæ ¡å‡†ž®Þq»“æžœå°±ä¸æ£¼‹®äº†ã€‚è€Œå®žé™…åŠ å·¥è¿‡½E‹ä¸åQŒåœ¨åŠ å·¥è®‘Ö¤‡åQŒæ©¡èƒ¶ææ–™éƒ½˜q›è¡Œäº†è‰¯å¥½çš„塑化。如果在实验室覘q›è¡Œè¡¨å¾ææ–™çš„æµåŠ¨æ€§ï¼Œéœ€è¦å°½é‡æŽ¥˜q‘实际生产æ¡ä»¶ä¸‹ææ–™çš„æµåŠ¨çŠ¶æ€ï¼Œå› æ¤é€‰ç”¨Contifeedæå‰˜q›è¡Œå¡‘化åQŒèƒ½å¤Ÿæ›´åŠ æŽ¥˜q‘æ©¡èƒ¶ææ–™çš„真实状æ€ã€?/p>
å¦ä¸€ä¸ªé‡è¦çš„ææ–™å®žä¾‹åQŒå¦‚PVCòq²æØœæ–™ï¼Œ˜q™ä¹Ÿéœ€è¦å¯¹ææ–™˜q›è¡Œå¡‘化åQŒæ‰èƒ½ä‹É¾_‰çŠ¶æ–™å‡èƒ¶åŒ–¾l“。在˜q™é‡ŒåQŒå¸¸è§„测试过½E‹ä¸åQŒè‡³ž®‘需è¦åœ¨å•èžºæ†æˆ–åŒèžºæ†æŒ¤å‡ºæœºä¸è¿›è¡Œä¸€äº›å¡‘åŒ–ã€‚åœ¨ä½¿ç”¨äº†æŒ¤å‡ºæœºå¡‘åŒ–åŽæ‰å¯èƒ½åœ¨å޾l测试ä¸åQŒæµ‹é‡å‡ºä¸€æ¡è‰¯å¥½çš„‹¹åŠ¨æ›²çº¿ã€‚å› ä¸ºï¼Œä¸ºå®žçŽ°æµåŠ¨æ›²¾U¿è€Œè®¾å®šçš„æ¯ä¸€é€Ÿåº¦çš„åœç•™æ—¶é—´éƒ½ä¼?x¨¬)å‘生å˜åŒ–。连¾l进料系¾lŸCONTIFEED的诞生,å‡å°‘了测试工作é‡åQŒç›´æŽ¥å°†æŒ¤å‡ºæœºçš„塑化˜q‡ç¨‹ä¸Žé«˜åŽ‹æ¯›¾l†ç®¡‹¹å˜ä»ªçš„‹¹‹è¯•˜qžæˆä¸€ä½“,òq¶å…许在‹¹‹è¯•å‰è®¾å®šä¸€ä¸ªç¡®å®šçš„ææ–™å¡‘化˜q‡ç¨‹åQŒç„¶åŽè¢«å¡‘化好的料自动æä¾›åˆ°‹¹å˜ä»ªä¸åQŒä¸€æ°”呵æˆçš„完戋¹‹è¯•。一站弋¹‹è¯•½Ž€å•ã€å¿«æ—÷€æ–¹ä¾¿æ“作ã€?/p>
那么˜qžç®‹˜q›æ–™¾pÈ»ŸContifeed该如何设¾|®ï¼Ÿ
CONTIFEED˜qžç®‹˜q›æ–™¾pÈ»Ÿæ˜¯å°†ä¸€ä¸ªèžºæ†ç›´å¾?0mmåQŒé•¿å¾„比10Dæˆ?5Dçš„å°åž‹å®žéªŒå®¤æŒ¤å‡ºæœÞZ¸Žæ¯›ç»†½Ž¡æµå˜äÈA的料½{’è¿žæŽ¥åœ¨ä¸€èµøP¼ˆæ— è®ºå•æ–™½{’è¿˜æ˜¯åŒæ–™ç’‹¹å˜ä»ªå‡é€‚é…åQ‰ã€?/p>

å›? ˜qžç®‹˜q›æ–™¾pÈ»Ÿçš„结构原ç†ç¤ºæ„图
挤出机通过一个æ—路阀与毛¾l†ç®¡‹¹å˜ä»ªçš„æ–™ç’相连åQŒè¿žæŽ¥ä½¾|®åœ¨å£æ¨¡çš„上æ–V€‚该装置å…许通过毛细½Ž¡æµå˜äÈA产生的ä¸åŒèƒŒåŽ‹ä‹Éææ–™å¡‘化。自动æ—通阀å¯ä»¥å®žçŽ°å®Œå…¨è‡ªåŠ¨åŒ–çš„ç†”ä½“æŒ¤å…¥å’Œæµ‹é‡ç¨‹åºã€‚由于自动进料,åœç•™æ—‰™—´å¯ç¾ƒçŸ?0%。图1昄¡¤ºäº†è¯¥è®‘Ö¤‡çš„结构原ç†ï¼Œå…¶ä¸å®žéªŒå®¤æŒ¤å‡ºæœºä¸ŽåŒæ–™ç’毛细½Ž¡æµå˜äÈA相匹é…ï¼Œç”¨äºŽåŒæ—¶å¡«å……两个料ç’。æ¯ä¸ªæ–™½{’éƒ½é…æœ‰æ¯›ç»†½Ž¡å£æ¨¡ã€‚ä¾‹å¦‚ï¼Œå£æ¨¡å¯ä»¥æœ‰ç›¸åŒçš„直径åQŒä½†ä¸åŒçš„é•¿åº¦ï¼Œä»¥æ¤æ¥è¿›è¡ŒBagleyæ ¡æ£ (å…¥å£åŽ‹åŠ›æŸå¤±æ ¡æ£)ã€?/p>
䏋颿ˆ‘们æ¥è¿›ä¸€æ¥æ·±å…¥äº†è§£ä¸€ä¸‹å¡‘化对åœç•™æ—‰™—´å’Œè¡¨è§‚粘度的影å“
一般æ¥è¯ß_(d¨¢)¼Œèšåˆç‰©é€šè¿‡å¡‘化改å˜å…¶æµå˜è¡Œä¸ºï¼Œ˜q™æ˜¯ç”׃ºŽèšåˆç‰©é“¾çš„è§£¾~ 绕åQŒç‰¹åˆ«æ˜¯å¦‚PVC和弹性体˜q™æ ·çš„ææ–™åœ¨åŠ å·¥å‰å¿…™å»è¿›è¡Œé€‚当的塑化ã€?/p>
å›?昄¡¤ºäº†å¡‘化对åœç•™æ—‰™—´çš„媄å“。å¯ä»¥èŠ‚çœé«˜è¾?0%的时间ã€?/p>

å›? 通过òqŒ™¡¡åŽ‹åŠ›æ›²çº¿å‡å°‘åœç•™æ—‰™—´
通过˜q›æ–™æŒ¤å‡ºæœø™¿›è¡Œå¡‘åŒ?nbsp;
螺æ†ç›´å¾„和长径比åQ?0mm / 10d
å›?昄¡¤ºäº†å¡‘化对高æÑaå¡«å……SBR胶料¾_˜åº¦çš„媄å“。这些数æ®é‡‡ç”¨Ostwald de Waele模型(òq‚律)˜q‘似表示。表3列出了Ostwald de Waele模型¾pÀL•°ã€‚å¡‘åŒ–åÆˆä¸åª„å“幂律系敎ͼŒä½†ç²˜åº¦æ°´òqÏx˜¾½Cºå‡º¾U?0%å·¦å³çš„差异。è§ä¸‹å›¾

å›? 通过˜q›æ–™æŒ¤å‡ºæœø™¿›è¡Œå¡‘化对表观¾_˜åº¦çš„媄å“?/span>
è¡?:Ostwald de Waele傿•°

增塑å¯ÒŽ(gu¨©) ¡æ£ç²˜åº¦å’Œæ‹‰äŽ×¾_˜åº¦çš„媄å“?/span>
为分æžCONTIFEED塑化å¯ÒŽ(gu¨©)Œ¤å‡ø™ƒ¶æ–™æ€§èƒ½çš„媄å“ï¼Œé€šè¿‡æ ‡å‡†æ¯›ç»†½Ž¡æµå˜äÈAåQŒåœ¨æœ‰CONTIFEEDå¡‘åŒ–å’Œæ— CONTIFEEDå¡‘åŒ–ä¸¤ç§æƒ…况下,¾l™å‡ºæŒ¤å‡ºèƒ¶æ–™çš„æµ‹è¯•结果。这些数æ®ç»˜q‡äº†Bagley(å…¥å£åŽ‹åŠ›æŸå¤±)å’ŒRabinowitsch-Weissenbergæ ¡æ£ã€‚这里介¾l两个例åã€?/p>
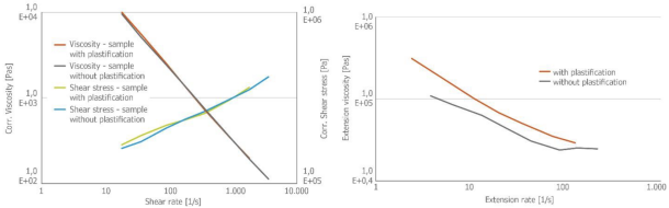
å›?昄¡¤ºäº†CONTIFEED塑化对轮胎胶料的影å“åQŒå¯ä»¥çœ‹åˆîC¿®æ£çš„剪切¾_˜åº¦çš„å˜åŒ–很大,而对拉äŽ×¾_˜åº¦çš„媄å“较?y¨u)®ã€‚通过塑化åQŒå‰ªåˆ‡ç²˜åº¦å·®å¼‚高è¾?5%åQŒæ‹‰ä¼¸ç²˜åº¦è¾¾18%ã€?/p>

å›? 塑化对修æ£çš„剪切¾_˜åº¦å’Œæ‹‰ä¼¸ç²˜åº¦çš„å½±å“
å›?昄¡¤ºäº†å¡‘化对轮胎胶料影å“çš„å¦ä¸€ä¸ªä¾‹å,å¯ä»¥çœ‹åˆ°å¯¹ä¿®æ£å‰ªåˆ‡ç²˜åº¦çš„å½±å“很å°åQŒè€Œå¯¹æ‹‰äŽ×¾_˜åº¦çš„媄å“很大。在˜q™ä¸ªä¾‹åä¸ï¼Œå¡‘化åªäñ”生了5%的剪切粘度å˜åŒ–,而拉伸粘度的å˜åŒ–很大æœ?4%ã€?/p>

å›? 塑化对修æ£äº†çš„剪切粘度和拉äŽ×¾_˜åº¦çš„媄å“?/span>
˜q™äº›ä¾‹å表明åQŒå¡‘化ä¸èƒ½ä»…仅考虑¾_˜åº¦å’Œæ‹‰ä¼¸ç²˜åº¦çš„å˜åŒ–åQŒå› 为剪切嘽E€è¡ŒäØ“(f¨´)也在改å˜ã€‚æ¤å¤–,对粘度和拉äŽ×¾_˜åº¦çš„媄å“å¯èƒ½å¯¹äºŽä¸åŒçš„ææ–™æ¥è¯´åQŒåª„å“大ž®ä¹Ÿå®Œå…¨ä¸åŒã€‚æµå˜å¦æ•°æ®è¡¨æ˜ŽåQŒææ–?在长直æµé“内的压力æŸå¤Þp¾ƒ?y¨u)®ï¼Œæ¯›ç»†½Ž¡å…¥å£åŒºåŸŸå·®å¼‚较ž(y¨u)®ï¼Œè€Œææ–?在长直æµé“内的压力æŸå¤±å‡ 乎相åŒï¼Œæ¯›ç»†½Ž¡å…¥å£åŒºåŸŸå·®å¼‚较大ã€?/p>
¾l“论
¾lég¸Šæ‰€˜qŽÍ¼Œé€šè¿‡˜qžç®‹˜q›æ–™¾pÈ»ŸCONTIFEED的进料塑化和挤出åŽï¼Œæœ‰ä»¥ä¸‹ä¼˜ç‚?
â—?æ— æ°”æ³¡ä¾›æ–™åˆ°æ¯›ç»†½Ž¡æµå˜äÈA
â—?nbsp;通过˜q™ä¸ª¾pÈ»Ÿå¯ÒŽ(gu¨©)料的有效的预çƒï¼Œå¯ç¾ƒçŸæµå˜æµ‹è¯?0%çš„æµ‹é‡æ—¶é—?/p>
â—?nbsp;å¿«é€Ÿé¢„çƒæ—¶é—´å¯ä»¥ç¾ƒçŸææ–™çš„åœç•™æ—‰™—´
â—?nbsp;特别适用于烽E›_®šæ€§è¾ƒå·®çš„ææ–™
â—?nbsp;å¯ä»¥¼‹®å®šæ³¨å¡‘æˆåž‹å·¥è‰ºçš„相å…Ïxµå˜å¦æ•°æ®
â—?nbsp;¾lå¡‘åŒ–ç²‰æœ«çŠ¶ææ–™ä¹Ÿå¯ä»¥å¾ˆå®ÒŽ(gu¨©)˜“的进行测é‡?/p>
â—?nbsp;å¯ä»¥‹¹‹é‡PVCòq²æØœç‰?/p>
通过˜qžç®‹˜q›æ–™¾pÈ»ŸCONTIFEED塑化åQŒå‰ªåˆ‡ç²˜åº¦å’Œæ‹‰äŽ×¾_˜åº¦éƒ½æœ‰æ‰€ä¸‹é™åQŒé€‚åˆåœ¨æŒ¤å‡ºæ”¶æ•›éƒ¨åˆ†æµ‹å®šï¼Œæœ€é«˜å¯è¾„¡º¦50%ã€‚å› æ¤ï¼Œä¸Žå¿½ç•¥äº†é¢„剪切历å²çš„ä¼ ç»Ÿ‹¹‹è¯•技术相比,˜qžç®‹˜q›æ–™¾pÈ»ŸCONTIFEEDäº§ç”Ÿçš„æ•°æ®æ›´é€‚åˆäºŽè¿‡½E‹æ¨¡æ‹Ÿã€?/span>

