“万物皆‹¹â€è¿™ä¸ªå“²å¦æ€æƒ³åœ¨å¤å¸Œè…Šæ—¶ä»£ä¾¿å·²äº§ç”Ÿã€‚而“æµå˜å¦â€è¿™ä¸ªæ¦‚å¿ëŠš„æå‡ºè·ä»Š˜q˜ä¸‘³ä¸€ç™‘Ö¹´åQŒä½†åŸÞZºŽâ€œæµå˜å¦â€è€Œç”Ÿäº§å‡ºçš„äñ”哿—©å·²æµ˜q›æˆ‘们生‹zÈš„è§’è§’è½è½åQŒå¤§åˆ°åˆšäº¤ä»˜è¯•飞的C919åQŒå°åˆ°æˆ‘ä»¬æ‰‹ä¸æ¡ä½çš„æ‰‹æœºåQŒéƒ½¼›ÖM¸å¼€â€œæµå˜å¦â€çš„æŒ‡å¼•æ¥è¿›è¡Œå˜íw«ã€?/span> ![]()
坿˜¯åQŒâ€œæµå˜â€åˆ°åº•是什么?什么是物体“æµå˜â€æ—¶å¿…然产生的剪切?而ähä»¬åˆæ˜¯å¦‚ä½•é€šè¿‡â€œç²˜åº¦â€æ¥è¡¨å¾â€œæµå˜â€ï¼ŒæŒ‡å¯¼é«˜åˆ†åææ–™åŠ å·¥çš„å‘¢ï¼Ÿå…Ïx³¨æˆ‘们åQŒè®©æˆ‘们为您æå¼€â€œæµå˜â€çš„¼œžç§˜é¢çº±ã€?/span>
从å—é¢ä¸Šè§£è¯»åQŒâ€œæµå˜â€å³‹¹åŠ¨å’Œå˜åŒ–,‹¹å˜å¦å°±æ˜¯ä¸€é—¨ç ”½I¶ææ–™æµåЍåŠå˜åŞ规律的科å¦ã€‚äh们在æè¿°äº‹ç‰©çš„规律时åQŒå¾€å¾€å€‘֑于将æè¿°é‡åŒ–åQŒæ¯”如通过½Ž€å•æ•°å¦æ¨¡åž‹æ¥å®šä¹‰ææ–™çš„一些åÅžå˜è¡Œä¸ºï¼Œé€šè¿‡æ›´å¤æ‚çš„æ¨¡åž‹æ¥æ˜q°æµåŠ¨è¡Œä¸ºï¼Œòq‰™€šè¿‡æ¨¡åž‹æ¥é¢„‹¹‹æ— 法观察和‹¹‹é‡åˆ°çš„ææ–™æˆåž‹˜q‡ç¨‹ ã€?/span>
关于‹¹å˜åˆ†æžä¸çš„æ¨¡åž‹åQŒæˆ‘们å¯ä»¥ä»Žè°ˆè“v“æµå˜â€ï¼Œž®±æ°¸˜qœæ— 法绕开“剪切â€è¯´èµ—÷€‚到底什么是剪切作用呢?生活ä¸ï¼Œæˆ‘们‹È€åŠ¨å¾—â€œæ“â€æ‰‹æ—Óž¼Œä¸¤ä¸ªæ‰‹æŽŒä¹‹é—´çš„æ‘©æ“¦å°±æ˜¯å‰ªåˆ‡ä½œç”¨ï¼›å†æ¯”å¦‚å‰ªåˆ€åœ¨å‰ªå¼€ä¸€å¼ çº¸æ—Óž¼Œä¸¤ä¸ªåˆ€åˆƒä¼šä½¿çº¸å¼ 局部äñ”生相寚w€Ÿåº¦åQŒåÅžæˆå‰ªåˆ‡ã€‚所以,当两个相互接触的侉K¢å‡ºçŽ°é€Ÿåº¦å·®æ—¶åQŒä¾¿å½¢æˆå‰ªåˆ‡ä½œç”¨ã€?/span>
在高分勹体分æžä¸ï¼Œæˆ‘们常常会å‡è®¾ä¸€ä¸ªç†æƒ³çš„æ¨¡åž‹åQŒæ¥˜q›è¡Œæ•°å¦è¡¨è¾¾ã€‚æ¯”å¦‚ï¼Œæ¶²ä½“åœ¨ä¸€ä¸ªåœ†å”æ¯›¾l†ç®¡åQˆå£æ¨¡ï¼‰ä¸æµåŠ¨ï¼Œè´´è¿‘½Ž¡å£å¤„的液体‹¹é€Ÿæœ€ž®ï¼Œä¸å¿ƒ‹¹é€Ÿæœ€å¤§ï¼ˆå¯ä»¥æƒŒ™±¡ä¸€ä¸‹æ²³‹¹ä¸çš„æ°´åQŒå²¸è¾¹çš„‹¹é€Ÿæ…¢åQŒä¸é—´çš„‹¹é€Ÿå¿«åQ‰ã€‚我们å¯ä»¥æŠŠä¸‹å›¾ä¸çš„‹¹ä½“æ¨ªå‘切割æˆä¸€å±‚一层的薄片åQŒé‚£ä¹ˆå±‚与层之间ž®×ƒ¼šæœ‰é€Ÿåº¦å·®ï¼Œå‡ºçŽ°â€œç›¸å¯ÒŽ»‘¿U Z€ï¼Œåƒä¸åƒæˆ‘ä»¬â€œæ“æ‰‹â€çš„动作åQŸè¿™ä¸ªå±‚与层之间的相互作用,在å®è§‚的表现上就是粘度ã€?/span>

坿˜¯åQŒæˆ‘们该如何用数å¦çš„å½¢å¼è¡¨è¾¾¾_˜åº¦å‘¢ï¼Ÿ
首先åQŒæˆ‘们在图ä¸å–出一å—陿¢çš„æ¶²ä½“åQŒå°†é•¿å®½é«˜å®šä½äØ“aåQŒbåQŒcåQŒä¸Šè¡¨é¢¿U¯A=a*b

当液体开始æµåŠ¨æ—¶åQŒå—到相é‚Õd±‚的“摩擦â€ä½œç”¨åŠ›FåQŒè¯¥ž®å—开始出现å˜å½¢ï¼Œé‚£ä¹ˆæˆ‘们ž®±å¾—åˆîCº†‹¹å˜å¦ä¸çš„一个定义,剪切应力åQšå•ä½é¢¿U¯æ‰€å—的剪切应力åQŒå•ä½äØ“Paã€?/span>

å…¬å¼è¡¨è¾¾ä¸ºï¼š

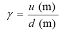
åŒæ—¶˜q™ä¸ªž®å—在æµåŠ¨æ–¹å‘上产生了一个å˜å½¢é‡Î¼åQŒäºŽæ˜¯æˆ‘们å¯ä»¥å¾—到å¦å¤–一个定义,剪切应å˜åQšç‰©ä½“收到剪切时所产生的相对型å˜é‡åQŒæ— é‡çº²åQˆå³æ— å•ä½ï¼‰åQ?/span>å…¬å¼è¡¨è¾¾ä¸ºï¼š

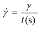
å› äØ“äº§ç”Ÿä¸€å®šåÅžå˜é‡åQŒéœ€è¦æ—¶é—ß_¼Œé‚£ä¹ˆž®×ƒñ”生了剪切速率的概念,剪切速率表示形æˆå‰ªåˆ‡åº”å˜çš„快慢,å•ä½s-1åQŒå…¬å¼è¡¨è¾¾äØ“åQ?/span>

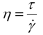
接下æ¥ï¼Œæˆ‘们ž®±å¯ä»¥è§è¯ä¸€ä¸ªä¼Ÿå¤§çš„定律的诞生,牛顿¾_˜æ€§å®šå¾‹ï¼šå‰ªåˆ‡¾_˜åº¦=剪切应力与剪切速率的比å€û|¼Œç”¨å…¬å¼è¡¨è¾¾äØ“åQ?/span>

˜q™æ˜¯ä¸€ä¸ªç®€å•而åˆä¼˜ç¾Žçš„æ•°å¦è¡¨è¾¾ï¼Œå®ƒå°†äºÞZ»¬æŠ½è±¡çš„æƒ³è±¡ï¼Œå˜æˆå¯ä»¥æ‰§æŽŒçš„利器,斩斾_˜æµ‹zÕdŒ–能的¼›é”¢åQŒè®©ææ–™å®ŒæˆåŽä¸½çš„å˜íw«ã€‚但是,½Ž€å•优¾ŸŽåÆˆä¸æ„味ç€å®Œç¾ŽåQŒå®ƒçš„è¯žç”Ÿæ˜¯åœ¨ä¸€ä¸ªå®Œå…¨ç†æƒ³çš„æ¡äšg下,而现实æ€ÀL˜¯å¾ˆæ®‹é…øP¼Œåœ¨æˆé•¿äؓ真æ£çš„利器å‰åQŒå®ƒ˜q˜éœ€è¦ä¸°å¯Œè‡ªå·Þqš„内涵åQŒéœ€è¦æ›´å¤šçš„辅助和æ¦è£?。于是,围绕˜q™ä¸ªå…¬å¼åQŒæµå˜æ±Ÿæ¹–上演å˜å‡ÞZº†å„ç§å¦è¯´å’Œå‡è®ä€?/span>
æƒ³ä¸æƒ³äº†è§£æ›´å¤šå…³äºŽæµå˜å¦çš„å°çŸ¥è¯†åQŸå…³æ³¨æˆ‘ä»¬ï¼Œä¸‹ä¸€æœŸå¸¦ä½ èµ°˜q›æµå˜å¦çš„æµ‹é‡ï¼Œçœ‹ä¸€çœ‹æˆ‘们的ž®Îäh˜¯å¦‚何丰满¾Ÿ½ç¿¼çš„ã€?/span>

